水痘是一种由水痘-带状疱疹病毒(VZV)初次感染引起的儿童常见传染病。VZV主要通过呼吸道传播,具有高度的传染性,易感人群(血清学阴性)暴露后感染率高达60%-100%。VZV感染后有可能终身潜伏在神经系统中,大约30%的感染者在免疫力低下时会因潜伏的VZV重新激活而发生带状疱疹。国内外现有水痘疫苗均采用WHO推荐的水痘病毒减毒冈株(vOka)作为疫苗株,接种后可大幅降低儿童水痘的发病率。然而,vOka疫苗株并不是由单一病毒株组成,而是包含多种遗传背景不完全一致的病毒株,其中部分病毒株仍然具有致病性,极少数人接种疫苗后可能会出现疫苗株导致的相关疾病。根据国外多项真实世界研究报告,在接种水痘疫苗后发生的带状疱疹患者中(尤其是青少年带状疱疹)约有40%-50%可以从病灶中检测到疫苗株特异的核酸片段,极个别脑炎、脑膜炎患者的脑脊液中也可以检测到疫苗株特异的核酸片段。因此,有必要研发减毒更彻底的、安全性进一步提高的新一代水痘疫苗。
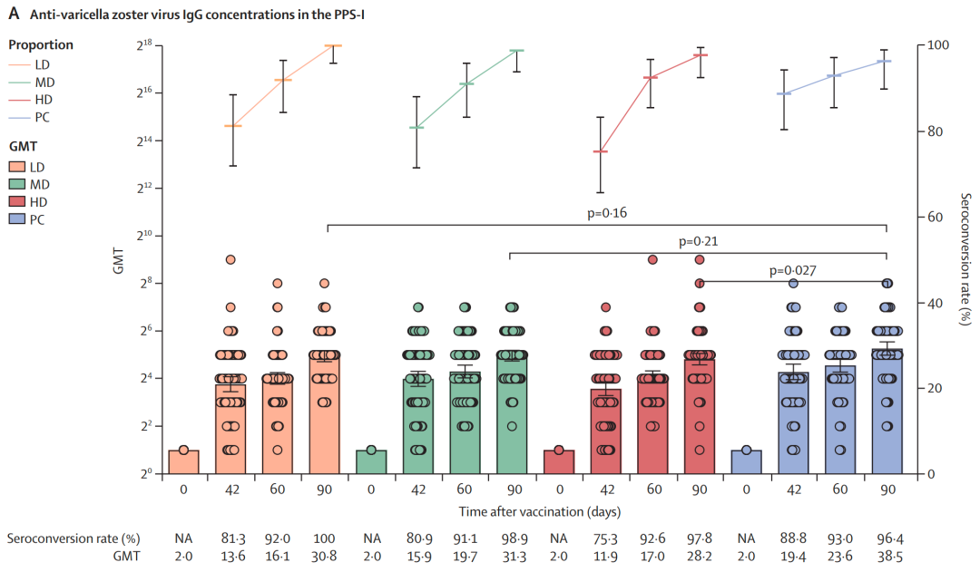
由实验室和万泰生物联合研发的一种嗜神经因子ORF7基因缺失的新型水痘减毒活疫苗(v7D)对人皮肤与神经细胞明显减毒,与现有vOka疫苗相比可能可明显降低疫苗株相关疾病的风险,具有成为新一代更安全的水痘减毒活疫苗的潜力。前期已在临床前和I期临床试验中初步验证了安全性和免疫原性(Nat Commun. 2022; 13(1):824;Lancet Reg Health West Pac. 2023; 34:100707)。为进一步全面评估v7D疫苗诱导的体液免疫和细胞免疫应答,研究团队于2020年在江苏赣榆开展了一项单中心、随机、双盲、阳性对照的IIa期临床研究。研究共入组了842名3-12岁健康志愿者,按1:1:1:1随机分配接种1剂低剂量、中剂量或高剂量的v7D疫苗或阳性对照(vOka)疫苗,评价疫苗的体液免疫及细胞免疫。在符合方案人群中,v7D疫苗的低、中、高剂量组与阳性对照vOka疫苗组的体液免疫应答和细胞免疫应答均相似。免后90天的抗体阳转率分别为100.0%、98.9%、97.8%和96.4%,平均抗体滴度分别为30.8、33.1、28.2和38.5;免后42天的细胞免疫应答阳转率分别为95.5%、90.5%、93.3%和88.0%,IFN-γ水平分别为87.0 pg/mL、122.0 pg/mL、89.0 pg/mL和96.0 pg/mL。v7D疫苗低、中、高剂量组的不良反应发生率低于vOka疫苗组(17%、20%、13%和24%,p=0.025),尤其是局部不良反应(10%、14%、9%和18%,p=0.016)。未发现与疫苗有关的严重不良事件。该研究结果提示v7D水痘疫苗的三个剂量组表现出与vOka疫苗相似的体液免疫和细胞免疫,并且安全性良好。

图1 疫苗接种后抗VZV IgG抗体水平
近日,该研究成果以题为“Immunogenicity and safety of an ORF7-deficient skin-attenuated and neuro-attenuated live vaccine for varicella: a randomised, double-blind, controlled, phase 2a trial”的论文在线发表于《柳叶刀-感染病学》(The Lancet Infectious Diseases)。江苏省疾病预防控制中心潘红星、实验室邱凌娴、江苏省疾病预防控制中心梁祁、中国食品药品检定研究院陈震为该论文的共同第一作者。实验室张军、江苏省疾病预防控制中心朱凤才、实验室吴婷、中国食品药品检定研究院李长贵、北京万泰生物药业股份有限公司叶祥忠为该论文的共同通讯作者。该研究获得了国家自然科学基金、中国医学科学院创新单元项目、中央高校基本科研业务费专项资金和北京万泰生物药业股份有限公司的资助。
论文链接:
https://www.thelancet.com/journals/laninf/article/PIIS1473-3099(24)00159-2/abstract